高考成绩公布之时,最为关键的并非分数自身,而是在全省范围内你的分数所在排位状况,这是由于其会直接决定你得以进入哪一所大学。众多人查完成绩后仅仅注视着分数,却遗漏了更能左右录取结果的“位次”,就此篇文章今日便去助力你将位次与排名这件事情全然搞明白。
什么是高考成绩位次
将高考成绩位次进行阐述,其意思是,在全省范围内,针对所有同科类考生而言,你高考的总分所处的具体排名位置,这便是简单所讲的高考成绩位次。仿若你的位次位列五千,乃是表明全省之中,有四千九百九十九人的分数比你要高,你处于第五千名的位置。要留意的是,位次与名次并不相同,它是于同一分数段之内,依据一定规则而做的细化后排序。
分为三大类的位次主要有省市位次、区县位次以及学校位次,其中对填报志愿最具参考价值的乃是省市位次。高校录取时是依照全省考生从高分到低分逐个依次投档的,所以唯有全省排名方可切实真正反映出你于竞争里的本真实际位置。
如何查询高考成绩位次
径直查询位次的最为直截的办法便是登录你身处的省份的教育考试院的官方网站,于高考成绩公布之后,考试院会同步发布一份称作“一分一段表”的关键文件,此表格详尽地罗列了每一个分数在全省范围之内的考生人数以及累计人数。
对于考生而言,仅需于“一分一段表”当中寻得自身高考分数,进而就能瞧见与之对应的“本段人数”以及“累计人数”,“累计人数”这儿所指的便是全省最低位次,需留意此乃涵盖同分考生在内的排名位置,而这个数据就是考生在填报志愿之际最为关键的参考依据。
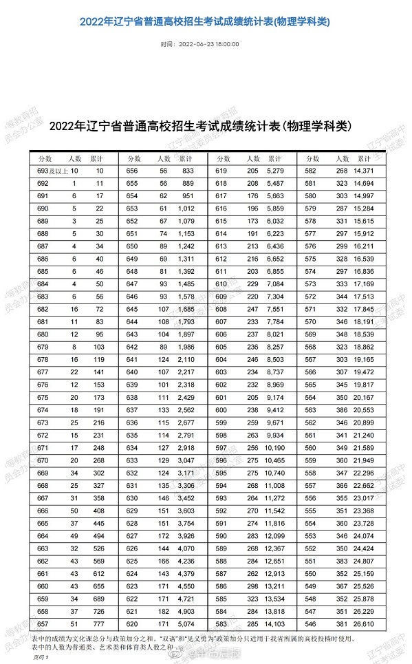
一分一段表到底是什么
省级教育考试院官方发布的统计表是一分一段表,全省同科类考生的总分依此从高到低排列后,按每一分划分出一个段,表格里含有两个关键数据,一个是考这个分数的人数即“本段人数”,另一个是“累计人数”也就是这个分数及以上的总人数。
因为这个表格是完全依据全省考生的实际成绩统计出来的,所以其权威性以及参考价值都相当高呀。凭借一分一段表,你不但能够晓得自身的位次,更能清晰地瞧见每一个分数段上考生的密集状况,进而判断出哪些分数段竞争最为激烈,哪些分数段相对而言比较宽松呢。
在一分一段表中找准自己的位置
得到一分一段表之后,首要之事便是找寻和自身成绩相对应的分数排名,不但得瞧自己的累计人数究竟是多少,还需留意同分数段有多少人,鉴于同分考生在录取之际会存在不一样的排序规则,一般是依照单科成绩再行区分出先后。
不行只瞧分数不瞅位次,缘由是每一年试卷难度存有差异,批次线会出现波动。像去年一本线是520分,今年也许变为500分,然而要是你今年的位次跟去年某所高校录取的平均位次相当,那么报考这所学校的参考价值相较于单纯看分数可要准确许多。
参考近三年录取位次做对比
紧接着要去做的便是对比差不多三年的“一分一段表”以及高校录取数据,把你心里喜欢的大学以往三年的录取最低分找寻出来,接着对应当年的一分一段表,查出来这些分数所处的位次范围,瞧瞧这个位次在最近三年究竟是上升了还是下降了。
要是你的位次接连高于这所学校在近代三年里的录取位次,那么报考的把握就会比较大。就好比某大学在去年的时候录取最低位次是10000名,在前年的时候是10500名,在大前年的时候是11000名,然而你的位次是9800名,如此一来你被录取的希望的确非常可观。
分析志愿梯度避免扎堆落榜
一分一段表可助力你剖析志愿填报的梯度,你需查看自身所处的分数段有多少考生,要是某个分数段人数极为集中,那么在填报志愿之际就要留意拉开院校与专业之间的梯度,以防因志愿扎堆致使落榜。
操作具体之时,可查看此批次总共招录的人数,你所处的层次是怎样的。与此同时,还需计算你的分数跟当年一本线或者本科线的分差,进而对比往年某所学校录取分数同相应批次线的分差。要是两个分差相匹配甚至超出,那么报考这所学校便较为稳妥了。
全省之中 你的高考位次究竟排在第几位呀 该位次是不是你之前进行估分时所预料到的呢 欢迎于评论区分享你的成绩以及位次 大家一同来交流志愿填报的经验 可别忘了点赞收藏 以便让更多考生能够看到这篇实用指南哦!



