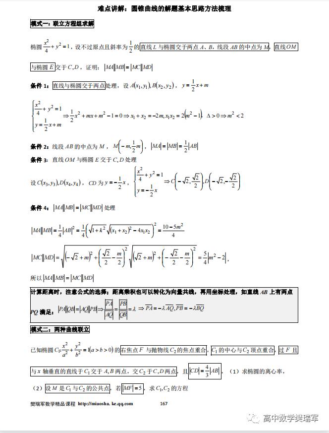
正文

2022高考数学为啥特别难?教育部:打击机械刷题,回归思维本质

admin